Optimization Toolbox | ![]() ![]() |
SQP Implementation
The SQP implementation consists of three main stages, which are discussed briefly in the following subsections:
Updating the Hessian Matrix
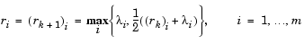
At each major iteration a positive definite quasi-Newton approximation of the Hessian of the Lagrangian function, H, is calculated using the BFGS method, where is an estimate of the Lagrange multipliers.
![]() |
(3-30) |
Powell [35] recommends keeping the Hessian positive definite even though it might be positive indefinite at the solution point. A positive definite Hessian is maintained providing is positive at each update and that H is initialized with a positive definite matrix. When
is not positive,
is modified on an element-by-element basis so that
. The general aim of this modification is to distort the elements of
, which contribute to a positive definite update, as little as possible. Therefore, in the initial phase of the modification, the most negative element of
is repeatedly halved. This procedure is continued until
is greater than or equal to 1e-5. If, after this procedure,
is still not positive, modify
by adding a vector v multiplied by a constant scalar w, that is,
![]() |
(3-31) |
and increase w systematically until becomes positive.
The functions fmincon
, fminimax
, fgoalattain
, and fseminf
all use SQP. If the options
parameter Display
is set to 'iter'
, then various information is given such as function values and the maximum constraint violation. When the Hessian has to be modified using the first phase of the preceding procedure to keep it positive definite, then Hessian modified
is displayed. If the Hessian has to be modified again using the second phase of the approach described above, then Hessian modified twice
is displayed. When the QP subproblem is infeasible, then infeasible
is displayed. Such displays are usually not a cause for concern but indicate that the problem is highly nonlinear and that convergence might take longer than usual. Sometimes the message no update
is displayed, indicating that is nearly zero. This can be an indication that the problem setup is wrong or you are trying to minimize a noncontinuous function.
Quadratic Programming Solution
At each major iteration of the SQP method, a QP problem of the following form is solved, where refers to the
i
th row of the m-by-n matrix .
![]() |
(3-32) |
The method used in the Optimization Toolbox is an active set strategy (also known as a projection method) similar to that of Gill et al., described in [20] and [19]. It has been modified for both Linear Programming (LP) and Quadratic Programming (QP) problems.
The solution procedure involves two phases. The first phase involves the calculation of a feasible point (if one exists). The second phase involves the generation of an iterative sequence of feasible points that converge to the solution. In this method an active set, , is maintained that is an estimate of the active constraints (i.e., those that are on the constraint boundaries) at the solution point. Virtually all QP algorithms are active set methods. This point is emphasized because there exist many different methods that are very similar in structure but that are described in widely different terms.
is updated at each iteration k, and this is used to form a basis for a search direction
. Equality constraints always remain in the active set
. The notation for the variable
is used here to distinguish it from
in the major iterations of the SQP method. The search direction
is calculated and minimizes the objective function while remaining on any active constraint boundaries. The feasible subspace for
is formed from a basis
whose columns are orthogonal to the estimate of the active set
(i.e.,
). Thus a search direction, which is formed from a linear summation of any combination of the columns of
, is guaranteed to remain on the boundaries of the active constraints.
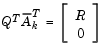
The matrix is formed from the last
columns of the QR decomposition of the matrix
, where l is the number of active constraints and l < m. That is,
is given by
![]() |
(3-33) |
Once is found, a new search direction
is sought that minimizes
where
is in the null space of the active constraints. That is,
is a linear combination of the columns of
:
for some vector p.
Then if you view the quadratic as a function of p, by substituting for , you have
![]() |
(3-34) |
Differentiating this with respect to p yields
![]() |
(3-35) |
is referred to as the projected gradient of the quadratic function because it is the gradient projected in the subspace defined by
. The term
is called the projected Hessian. Assuming the Hessian matrix H is positive definite (which is the case in this implementation of SQP), then the minimum of the function q(p) in the subspace defined by
occurs when
, which is the solution of the system of linear equations
![]() |
(3-36) |
A step is then taken of the form
![]() |
(3-37) |
At each iteration, because of the quadratic nature of the objective function, there are only two choices of step length . A step of unity along
is the exact step to the minimum of the function restricted to the null space of
. If such a step can be taken, without violation of the constraints, then this is the solution to QP (Eq. 3-33). Otherwise, the step along
to the nearest constraint is less than unity and a new constraint is included in the active set at the next iteration. The distance to the constraint boundaries in any direction
is given by
![]() |
(3-38) |
which is defined for constraints not in the active set, and where the direction is towards the constraint boundary, i.e.,
.
When n independent constraints are included in the active set, without location of the minimum, Lagrange multipliers, , are calculated that satisfy the nonsingular set of linear equations
![]() |
(3-39) |
If all elements of are positive,
is the optimal solution of QP (Eq. 3-33). However, if any component of
is negative, and the component does not correspond to an equality constraint, then the corresponding element is deleted from the active set and a new iterate is sought.
Initialization. The algorithm requires a feasible point to start. If the current point from the SQP method is not feasible, then you can find a point by solving the linear programming problem
![]() |
(3-40) |
The notation indicates the ith row of the matrix A. You can find a feasible point (if one exists) to Eq. 3-40 by setting x to a value that satisfies the equality constraints. You can determine this value by solving an under- or overdetermined set of linear equations formed from the set of equality constraints. If there is a solution to this problem, then the slack variable
is set to the maximum inequality constraint at this point.
You can modify the preceding QP algorithm for LP problems by setting the search direction to the steepest descent direction at each iteration, where is the gradient of the objective function (equal to the coefficients of the linear objective function).
![]() |
(3-41) |
If a feasible point is found using the preceding LP method, the main QP phase is entered. The search direction is initialized with a search direction
found from solving the set of linear equations
![]() |
(3-42) |
where is the gradient of the objective function at the current iterate
(i.e.,
).
If a feasible solution is not found for the QP problem, the direction of search for the main SQP routine is taken as one that minimizes
.
Line Search and Merit Function
The solution to the QP subproblem produces a vector , which is used to form a new iterate
![]() |
(3-43) |
The step length parameter is determined in order to produce a sufficient decrease in a merit function. The merit function used by Han [24] and Powell [35] of the following form is used in this implementation.
![]() |
(3-44) |
Powell recommends setting the penalty parameter
![]() |
(3-45) |
This allows positive contribution from constraints that are inactive in the QP solution but were recently active. In this implementation, the penalty parameter is initially set to
![]() |
(3-46) |
where represents the Euclidean norm.
This ensures larger contributions to the penalty parameter from constraints with smaller gradients, which would be the case for active constraints at the solution point.
![]() | Quadratic Programming (QP) Subproblem | Multiobjective Optimization | ![]() |