Fixed-Point Blockset    

Multiplication

Consider the multiplication of two real-world values:

These values are represented by the general [Slope Bias] encoding scheme described in Scaling:

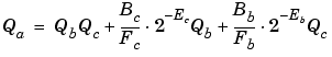
In a fixed-point system, the multiplication of values results in finding the variable Qa:

This formula shows

Inherited Scaling for Speed

The number of arithmetic operations can be reduced with these choices:

The resulting formula is

Inherited Scaling for Maximum Precision

You can determine the maximum precision scaling if the range of the variable is known. Example: Maximizing Precision shows that you can determine the range of a fixed-point operation from and .

For multiplication, you can determine the range from

where

Radix Point-Only Scaling

For radix point-only scaling, finding Qa results in this simple expression:


  Accumulation Gain