Function Reference    
ss2ss

State coordinate transformation for state-space models

Syntax

Description

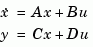
Given a state-space model sys with equations

(or their discrete-time counterpart), ss2ss performs the similarity transformation on the state vector and produces the equivalent state-space model sysT with equations.

sysT = ss2ss(sys,T) returns the transformed state-space model sysT given sys and the state coordinate transformation T. The model sys must be in state-space form and the matrix T must be invertible. ss2ss is applicable to both continuous- and discrete-time models.

Example

Perform a similarity transform to improve the conditioning of the matrix.

See ssbal for a more direct approach.

See Also
balreal     Grammian-based I/O balancing

canon       Canonical state-space realizations

ssbal       Balancing of state-space models using diagonal similarity transformations


  ss ssbal