Signal Processing Toolbox | ![]() ![]() |
Compute a linear model using Steiglitz-McBride iteration
Syntax
[b,a]=
stmcb(h,nb,na) [b,a]=
stmcb(y,x,nb,na) [b,a]=
stmcb(h,nb,na,niter) [b,a]=
stmcb(y,x,nb,na,niter) [b,a]=
stmcb(h,nb,na,niter,ai) [b,a]=
stmcb(y,x,nb,na,niter,ai)
Description
Steiglitz-McBride iteration is an algorithm for finding an IIR filter with a prescribed time domain impulse response. It has applications in both filter design and system identification (parametric modeling).
[b,a]
finds the coefficients =
stmcb(h,nb,na)
b
and a
of the system b(z)/a(z) with approximate impulse response h
, exactly nb
zeros, and exactly na
poles.
[b,a]
finds the system coefficients =
stmcb(y,x,nb,na)
b
and a
of the system that, given x
as input, has y
as output. x
and y
must be the same length.
[b,a]
and =
stmcb(h,nb,na,niter)
[b,a]
use =
stmcb(y,x,nb,na,niter)
niter
iterations. The default for niter
is 5.
[b,a]
and =
stmcb(h,nb,na,niter,ai)
[b,a]
use the vector =
stmcb(y,x,nb,na,niter,ai)
ai
as the initial estimate of the denominator coefficients. If ai
is not specified, stmcb
uses the output argument from [b,ai] =
prony
(h,0,na)
as the vector ai
.
stmcb
returns the IIR filter coefficients in length nb+1
and na+1
row vectors b
and a
. The filter coefficients are ordered in descending powers of z.
Examples
Approximate the impulse response of a Butterworth filter with a system of lower order:
[b,a]=
butter(6,0.2); h=
filter(b,a,[1 zeros(1,100)]); freqz(b,a,128) [bb,aa]=
stmcb(h,4,4); freqz(bb,aa,128)
Algorithm
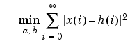
stmcb
attempts to minimize the squared error between the impulse response h of b(z)/a(z) and the input signal x.
stmcb
iterates using two steps:
stmcb
repeats this process niter
times. No checking is done to see if the b
and a
coefficients have converged in fewer than niter
iterations.
Diagnostics
If x
and y
have different lengths, stmcb
produces this error message,
See Also
References
[1] Steiglitz, K., and L.E. McBride, "A Technique for the Identification of Linear Systems," IEEE Trans. Automatic Control, Vol. AC-10 (1965), pp. 461-464.
[2] Ljung, L., System Identification: Theory for the User, Prentice-Hall, Englewood Cliffs, NJ, 1987, p. 297.
![]() | stepz | strips | ![]() |