Signal Processing Toolbox | ![]() ![]() |
Compute the Levinson-Durbin recursion
Syntax
Description
The Levinson-Durbin recursion is an algorithm for finding an all-pole IIR filter with a prescribed deterministic autocorrelation sequence. It has applications in filter design, coding, and spectral estimation. The filter that levinson
produces is minimum phase.
a
finds the coefficients of an =
levinson(r,p)
p
th-order autoregressive linear process which has r
as its autocorrelation sequence. r
is a real or complex deterministic autocorrelation sequence (a vector), and p
is the order of denominator polynomial A(z); that is, a = [1 a(2) ... a(p+1)]
. The filter coefficients are ordered in descending powers of z.
Algorithm
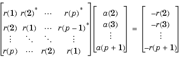
levinson
solves the symmetric Toeplitz system of linear equations
where r = [
r(1) ... r(p+1)]
is the input autocorrelation vector, and r(i)* denotes the complex conjugate of r(i). The algorithm requires O(p2) flops and is thus much more efficient than the MATLAB \
command for large p
. However, the levinson
function uses \
for low orders to provide the fastest possible execution.
See Also
lpc
, prony
, rlevinson
, schurrc
, stmcb
References
[1] Ljung, L., System Identification: Theory for the User, Prentice-Hall, 1987, pp. 278-280.
![]() | latcfilt | lp2bp | ![]() |