MATLAB Function Reference    
ode45, ode23, ode113, ode15s, ode23s, ode23t, ode23tb

Solve initial value problems for ordinary differential equations (ODEs)

Syntax

where solver is one of ode45, ode23, ode113, ode15s, ode23s, ode23t, or ode23tb.

Arguments

odefun
A function that evaluates the right-hand side of the differential equations. All solvers solve systems of equations in the form or problems that involve a mass matrix, . The ode23s solver can solve only equations with constant mass matrices. ode15s and ode23t can solve problems with a mass matrix that is singular, i.e., differential-algebraic equations (DAEs).
tspan
A vector specifying the interval of integration, [t0,tf]. To obtain solutions at specific times (all increasing or all decreasing), use tspan = [t0,t1,...,tf].
y0
A vector of initial conditions.
options
Optional integration argument created using the odeset function. See odeset for details.
p1,p2...
Optional parameters that the solver passes to odefun and all the functions specified in options..

Description

[T,Y] = solver(odefun,tspan,y0) with tspan = [t0 tf] integrates the system of differential equations from time t0 to tf with initial conditions y0. Function f = odefun(t,y), for a scalar t and a column vector y, must return a column vector f corresponding to . Each row in the solution array Y corresponds to a time returned in column vector T. To obtain solutions at the specific times t0t1,...,tf (all increasing or all decreasing), use tspan = [t0,t1,...,tf].

[T,Y] = solver(odefun,tspan,y0,options) solves as above with default integration parameters replaced by property values specified in options, an argument created with the odeset function. Commonly used properties include a scalar relative error tolerance RelTol (1e-3 by default) and a vector of absolute error tolerances AbsTol (all components are 1e-6 by default). See odeset for details.

[T,Y] = solver(odefun,tspan,y0,options,p1,p2...) solves as above, passing the additional parameters p1,p2... to the function odefun, whenever it is called. Use options = [] as a place holder if no options are set.

[T,Y,TE,YE,IE] = solver(odefun,tspan,y0,options) solves as above while also finding where functions of , called event functions, are zero. For each event function, you specify whether the integration is to terminate at a zero and whether the direction of the zero crossing matters. Do this by setting the 'Events' property to a function, e.g., events or @events, and creating a function [value,isterminal,direction] = events(t,y). For the ith event function in events:

Corresponding entries in TE, YE, and IE return, respectively, the time at which an event occurs, the solution at the time of the event, and the index i of the event function that vanishes.

sol = solver(odefun,[t0 tf],y0...) returns a structure that you can use with deval to evaluate the solution at any point on the interval [t0,tf]. You must pass odefun as a function handle. The structure sol always includes these fields:

sol.x
Steps chosen by the solver.
sol.y
Each column sol.y(:,i) contains the solution at sol.x(i).
sol.solver
Solver name.

If you specify the Events option and events are detected, sol also includes these fields:

sol.xe
Points at which events, if any, occurred. sol.xe(end) contains the exact point of a terminal event, if any.
sol.ye
Solutions that correspond to events in sol.xe.
sol.ie
Indices into the vector returned by the function specified in the Events option. The values indicate which event the solver detected.

If you specify an output function as the value of the OutputFcn property, the solver calls it with the computed solution after each time step. Four output functions are provided: odeplot, odephas2, odephas3, odeprint. When you call the solver with no output arguments, it calls the default odeplot to plot the solution as it is computed. odephas2 and odephas3 produce two- and three-dimnesional phase plane plots, respectively. odeprint displays the solution components on the screen. By default, the ODE solver passes all components of the solution to the output function. You can pass only specific components by providing a vector of indices as the value of the OutputSel property. For example, if you call the solver with no output arguments and set the value of OutputSel to [1,3], the solver plots solution components 1 and 3 as they are computed.

For the stiff solvers ode15s, ode23s, ode23t, and ode23tb, the Jacobian matrix is critical to reliability and efficiency. Use odeset to set Jacobian to @FJAC if FJAC(T,Y) returns the Jacobian or to the matrix if the Jacobian is constant. If the Jacobian property is not set (the default), is approximated by finite differences. Set the Vectorized property 'on' if the ODE function is coded so that odefun(T,[Y1,Y2 ...]) returns [odefun(T,Y1),odefun(T,Y2) ...]. If is a sparse matrix, set the JPattern property to the sparsity pattern of , i.e., a sparse matrix S with S(i,j) = 1 if the ith component of depends on the jth component of , and 0 otherwise.

The solvers of the ODE suite can solve problems of the form , with time- and state-dependent mass matrix . (The ode23s solver can solve only equations with constant mass matrices.) If a problem has a mass matrix, create a function M = MASS(t,y) that returns the value of the mass matrix, and use odeset to set the Mass property to @MASS. If the mass matrix is constant, the matrix should be used as the value of the Mass property. Problems with state-dependent mass matrices are more difficult:

If there are many differential equations, it is important to exploit sparsity:

If the mass matrix is singular, then is a differential algebraic equation. DAEs have solutions only when is consistent, that is, if there is a vector such that

. The ode15s and ode23t solvers can solve DAEs of index 1 provided that y0 is sufficiently close to being consistent. If there is a mass matrix, you can use odeset to set the MassSingular property to 'yes', 'no', or 'maybe'. The default value of 'maybe' causes the solver to test whether the problem is a DAE. You can provide yp0 as the value of the InitialSlope property. The default is the zero vector. If a problem is a DAE, and y0 and yp0 are not consistent, the solver treats them as guesses, attempts to compute consistent values that are close to the guesses, and continues to solve the problem. When solving DAEs, it is very advantageous to formulate the problem so that is a diagonal matrix (a semi-explicit DAE).

Solver
Problem Type
Order of Accuracy
When to Use
ode45
Nonstiff
Medium
Most of the time. This should be the first solver you try.
ode23
Nonstiff
Low
If using crude error tolerances or solving moderately stiff problems.
ode113
Nonstiff
Low to high
If using stringent error tolerances or solving a computationally intensive ODE file.
ode15s
Stiff
Low to medium
If ode45 is slow because the problem is stiff.
ode23s
Stiff
Low
If using crude error tolerances to solve stiff systems and the mass matrix is constant.
ode23t
Moderately Stiff
Low
If the problem is only moderately stiff and you need a solution without numerical damping.
ode23tb
Stiff
Low
If using crude error tolerances to solve stiff systems.

The algorithms used in the ODE solvers vary according to order of accuracy [6] and the type of systems (stiff or nonstiff) they are designed to solve. See Algorithms for more details.

Options

Different solvers accept different parameters in the options list. For more information, see odeset and Improving ODE Solver Performance in the "Mathematics" section of the MATLAB documentation.

Parameters
ode45
ode23
ode113
ode15s
ode23s
ode23t
ode23tb
RelTol, AbsTol, NormControl







OutputFcn, OutputSel, Refine, Stats







Events







MaxStep, InitialStep







Jacobian, JPattern, Vectorized
--
--
--




Mass
MStateDependence
MvPattern
MassSingular



--
--


--
--


--
--





--
--
--







--
InitialSlope
--
--
--

--

--
MaxOrder, BDF
--
--
--

--
--
--

Examples

Example 1. An example of a nonstiff system is the system of equations describing the motion of a rigid body without external forces.

To simulate this system, create a function rigid containing the equations

In this example we change the error tolerances using the odeset command and solve on a time interval [0 12] with an initial condition vector [0 1 1] at time 0.

Plotting the columns of the returned array Y versus T shows the solution

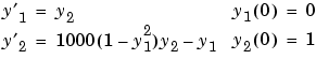
Example 2. An example of a stiff system is provided by the van der Pol equations in relaxation oscillation. The limit cycle has portions where the solution components change slowly and the problem is quite stiff, alternating with regions of very sharp change where it is not stiff.

To simulate this system, create a function vdp1000 containing the equations

For this problem, we will use the default relative and absolute tolerances (1e-3 and 1e-6, respectively) and solve on a time interval of [0 3000] with initial condition vector [2 0] at time 0.

Plotting the first column of the returned matrix Y versus T shows the solution

Algorithms

ode45 is based on an explicit Runge-Kutta (4,5) formula, the Dormand-Prince pair. It is a one-step solver - in computing y(tn), it needs only the solution at the immediately preceding time point, y(tn-1). In general, ode45 is the best function to apply as a "first try" for most problems. [3]

ode23 is an implementation of an explicit Runge-Kutta (2,3) pair of Bogacki and Shampine. It may be more efficient than ode45 at crude tolerances and in the presence of moderate stiffness. Like ode45, ode23 is a one-step solver. [2]

ode113 is a variable order Adams-Bashforth-Moulton PECE solver. It may be more efficient than ode45 at stringent tolerances and when the ODE file function is particularly expensive to evaluate. ode113 is a multistep solver - it normally needs the solutions at several preceding time points to compute the current solution. [7]

The above algorithms are intended to solve nonstiff systems. If they appear to be unduly slow, try using one of the stiff solvers below.

ode15s is a variable order solver based on the numerical differentiation formulas (NDFs). Optionally, it uses the backward differentiation formulas (BDFs, also known as Gear's method) that are usually less efficient. Like ode113, ode15s is a multistep solver. Try ode15s when ode45 fails, or is very inefficient, and you suspect that the problem is stiff, or when solving a differential-algebraic problem. [9], [10]

ode23s is based on a modified Rosenbrock formula of order 2. Because it is a one-step solver, it may be more efficient than ode15s at crude tolerances. It can solve some kinds of stiff problems for which ode15s is not effective. [9]

ode23t is an implementation of the trapezoidal rule using a "free" interpolant. Use this solver if the problem is only moderately stiff and you need a solution without numerical damping. ode23t can solve DAEs. [10]

ode23tb is an implementation of TR-BDF2, an implicit Runge-Kutta formula with a first stage that is a trapezoidal rule step and a second stage that is a backward differentiation formula of order two. By construction, the same iteration matrix is used in evaluating both stages. Like ode23s, this solver may be more efficient than ode15s at crude tolerances. [8], [1]

See Also

deval, odeset, odeget, @ (function handle)

References

[1]  Bank, R. E., W. C. Coughran, Jr., W. Fichtner, E. Grosse, D. Rose, and R. Smith, "Transient Simulation of Silicon Devices and Circuits," IEEE Trans. CAD, 4 (1985), pp 436-451.

[2]  Bogacki, P. and L. F. Shampine, "A 3(2) pair of Runge-Kutta formulas," Appl. Math. Letters, Vol. 2, 1989, pp 1-9.

[3]  Dormand, J. R. and P. J. Prince, "A family of embedded Runge-Kutta formulae," J. Comp. Appl. Math., Vol. 6, 1980, pp 19-26.

[4]  Forsythe, G. , M. Malcolm, and C. Moler, Computer Methods for Mathematical Computations, Prentice-Hall, New Jersey, 1977.

[5]  Kahaner, D. , C. Moler, and S. Nash, Numerical Methods and Software, Prentice-Hall, New Jersey, 1989.

[6]  Shampine, L. F. , Numerical Solution of Ordinary Differential Equations, Chapman & Hall, New York, 1994.

[7]  Shampine, L. F. and M. K. Gordon, Computer Solution of Ordinary Differential Equations: the Initial Value Problem, W. H. Freeman, San Francisco, 1975.

[8]  Shampine, L. F. and M. E. Hosea, "Analysis and Implementation of TR-BDF2," Applied Numerical Mathematics 20, 1996.

[9]  Shampine, L. F. and M. W. Reichelt, "The MATLAB ODE Suite," SIAM Journal on Scientific Computing, Vol. 18, 1997, pp 1-22.

[10]  Shampine, L. F., M. W. Reichelt, and J.A. Kierzenka, "Solving Index-1 DAEs in MATLAB and Simulink," SIAM Review, Vol. 41, 1999, pp 538-552.


  nzmax odefile