Function Reference    
dlqr

Design linear-quadratic (LQ) state-feedback regulator for discrete-time plant

Syntax

Description

[K,S,e] = dlqr(a,b,Q,R,N) calculates the optimal gain matrix K such that the state-feedback law

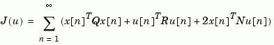
minimizes the quadratic cost function

for the discrete-time state-space mode

The default value N=0 is assumed when N is omitted.

In addition to the state-feedback gain K, dlqr returns the infinite horizon solution S of the associated discrete-time Riccati equation

and the closed-loop eigenvalues e = eig(a-b*K). Note that K is derived from S by

Limitations

The problem data must satisfy:

See Also
dare        Solve discrete Riccati equations

lqgreg      LQG regulator

lqr         State-feedback LQ regulator for continuous plant

lqrd        Discrete LQ regulator for continuous plant

lqry        State-feedback LQ regulator with output weighting


  delay2z dlyap