MATLAB Function Reference    
ellipke

Complete elliptic integrals of the first and second kind

Syntax

Definition

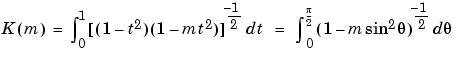
The complete elliptic integral of the first kind [1] is

where , the elliptic integral of the first kind, is

The complete elliptic integral of the second kind

is

Some definitions of K and E use the modulus instead of the parameter . They are related by

Description

K = ellipke(M) returns the complete elliptic integral of the first kind for the elements of M.

[K,E] = ellipke(M) returns the complete elliptic integral of the first and second kinds.

[K,E] = ellipke(M,tol) computes the Jacobian elliptic functions to accuracy tol. The default is eps; increase this for a less accurate but more quickly computed answer.

Algorithm

ellipke computes the complete elliptic integral using the method of the arithmetic-geometric mean described in [1], section 17.6. It starts with the triplet of numbers

ellipke computes successive iterations of , , and with

stopping at iteration when , within the tolerance specified by eps. The complete elliptic integral of the first kind is then

Limitations

ellipke is limited to the input domain .

See Also

ellipj

References

[1]  Abramowitz, M. and I.A. Stegun, Handbook of Mathematical Functions, Dover Publications, 1965, 17.6.


  ellipj ellipsoid