| Statistics Toolbox |    | 
Mean and variance for the Rayleigh distribution
Syntax
Description
[M,V] = raylstat(B)
B.
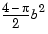
The mean of the Rayleigh distribution with parameter b is  and the variance is
 and the variance is 
 
Example
See Also
raylcdf, raylinv, raylpdf, raylrnd
|   | raylrnd | rcoplot |  |