Statistics Toolbox    

Geometric Distribution

The following sections provide an overview of the geometric distribution.

Background of the Geometric Distribution

The geometric distribution is discrete, existing only on the nonnegative integers. It is useful for modeling the runs of consecutive successes (or failures) in repeated independent trials of a system.

The geometric distribution models the number of successes before one failure in an independent succession of tests where each test results in success or failure.

Definition of the Geometric Distribution

The geometric pdf is

where q = 1 - p.

Example and Plot of the Geometric Distribution

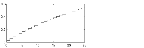
Suppose the probability of a five-year-old battery failing in cold weather is 0.03. What is the probability of starting 25 consecutive days during a long cold snap?

The plot shows the cdf for this scenario.


  Gamma Distribution Hypergeometric Distribution