Statistics Toolbox | ![]() ![]() |
Chi-Square Distribution
The following sections provide an overview of the 2 distribution.
Background of the Chi-Square Distribution
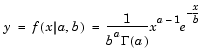
The 2 distribution is a special case of the gamma distribution where b = 2 in the equation for gamma distribution below.
The 2 distribution gets special attention because of its importance in normal sampling theory. If a set of n observations is normally distributed with variance
2, and s2 is the sample standard deviation, then
The Statistics Toolbox uses the above relationship to calculate confidence intervals for the estimate of the normal parameter 2 in the function
normfit
.
Definition of the Chi-Square Distribution
where ( · ) is the Gamma function, and
is the degrees of freedom.
Example and Plot of the Chi-Square Distribution
The 2 distribution is skewed to the right especially for few degrees of freedom (
). The plot shows the
2 distribution with four degrees of freedom.
![]() | Binomial Distribution | Noncentral Chi-Square Distribution | ![]() |