| Signal Processing Toolbox | ![]() |
Filter Structures
| Filter Structures |
|
| Direct form |
Direct form I Direct form II Direct form I transposed Direct form II transposed |
| Second-order sections |
Direct form II second-order sections |
| State-space |
|
| Lattice allpass |
Lattice allpass Lattice MA minimum Lattice MA maximum Lattice ARMA |
Discrete-time filter (dfilt object) |
|
Quantized filter (qfilt object)--available only when the Filter Design Toolbox is installed |
The structure that you choose determines the type of coefficients that you need to specify in the text fields to the right.
Direct Form
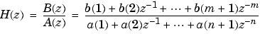
For direct form I, direct form II, direct form I transposed, and direct form II transposed, specify the filter by its transfer function representation
b, which contains m+1 coefficients in descending powers of z.
a, which contains n+1 coefficients in descending powers of z. For FIR filters, the Denominator is 1.
Filters in transfer function form can be produced by all of the Signal Processing Toolbox filter design functions (such as fir1, fir2, remez, butter, yulewalk). See Transfer Function for more information.
Direct Form II (Second-Order Sections)
For direct form II (second-order sections), specify the filter by its second-order section representation:
The Gain field specifies a variable name or a value for the gain g, and the SOS Matrix field specifies a variable name or a value for the L-by-6 SOS matrix
whose rows contain the numerator and denominator coefficients bik and aik of the second-order sections of H(z).
Filters in second-order section form can be produced by functions such as tf2sos, zp2sos, ss2sos, and sosfilt. See Second-Order Sections (SOS) for more information.
State-Space
For State-Space, specify the filter by its state-space representation:
The A, B, C, and D fields each specify a variable name or a value for the matrices in this system.
Filters in state-space form can be produced by functions such as tf2ss and zp2ss. See State-Space for more information.
Lattice
For lattice allpass, lattice minimum and maximum phase, and lattice ARMA filters, specify the filter by its lattice representation:
k(1) to k(N), where N is the filter order.
k(1) to k(N), where N is the filter order.
k(1) to k(N), and the Ladder coeff field specifies the ladder coefficients, v(1) to v(N+1), where N is the filter order.
Filters in lattice form can be produced by tf2latc. See Lattice Structure for more information.
Discrete-time Filter (dfilt object)
For Discrete-time filter, specify the name of the dfilt object. See dfilt for more information.
Quantized Filter (qfilt object)
For Quantized filter, specify the name of the qfilt object. See qfilt in the Filter Design Toolbox for more information.
| Importing a Filter Design | Exporting a Filter Design | ![]() |