Wavelet Toolbox    

Building Wavelet Packets

The computation scheme for wavelet packets generation is easy when using an orthogonal wavelet. We start with the two filters of length 2N, where h(n) and g(n), corresponding to the wavelet.

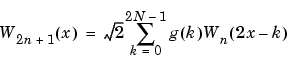
Now by induction let us define the following sequence of functions:

by

where W0(x) = (x) is the scaling function and W1(x) = (x) is the wavelet function.

For example for the Haar wavelet we have

and

The equations become

and

W0(x) = (x) is the Haar scaling function and W1(x) = (x) is the Haar wavelet, both supported in [0, 1]. Then we can obtain W2n by adding two 1/2-scaled versions of Wn with distinct supports [0,1/2] and [1/2,1] and obtain W2n+1 by subtracting the same versions of Wn.

For n = 0 to 7, we have the W-functions shown below.

Figure 6-37: The Haar Wavelet Packets

This can be obtained using the following command:

which returns in wfun the approximate values of Wn for n = 0 to 7, computed on

a 1/25 grid of the support xgrid.

Starting from more regular original wavelets and using a similar construction, we obtain smoothed versions of this system of W-functions, all with support in the interval [0, 2N-1]. Figure 6-38, below, presents the system of W-functions for the original db2 wavelet.

Figure 6-38: The db2 Wavelet Packets


  Wavelet Packets in Action: an Introduction Wavelet Packet Atoms