| Optimization Toolbox | ![]() |
Solve a system of nonlinear equations
for x, where x is a vector and F(x) is a function that returns a vector value.
Syntax
x = fsolve(fun,x0) x = fsolve(fun,x0,options) x = fsolve(fun,x0,options,P1,P2, ... ) [x,fval] = fsolve(...) [x,fval,exitflag] = fsolve(...) [x,fval,exitflag,output] = fsolve(...) [x,fval,exitflag,output,jacobian] = fsolve(...)
Description
fsolve finds a root (zero) of a system of nonlinear equations.
x = fsolve(fun,x0)
starts at x0 and tries to solve the equations described in fun.
x = fsolve(fun,x0,options)
minimizes with the optimization parameters specified in the structure options. Use optimset to set these parameters.
x = fsolve(fun,x0,options,P1,P2,...)
passes the problem-dependent parameters P1, P2, etc., directly to the function fun. Pass an empty matrix for options to use the default values for options.
[x,fval] = fsolve(fun,x0)
returns the value of the objective function fun at the solution x.
[x,fval,exitflag] = fsolve(...)
returns a value exitflag that describes the exit condition.
[x,fval,exitflag,output] = fsolve(...)
returns a structure output that contains information about the optimization.
[x,fval,exitflag,output,jacobian] = fsolve(...)
returns the Jacobian of fun at the solution x.
Input Arguments
Function Arguments contains general descriptions of arguments passed in to fsolve. This section provides function-specific details for fun and options:
fun |
The nonlinear system of equations to solve. fun is a function that accepts a vector x and returns a vector F, the nonlinear equations evaluated at x. The function fun can be specified as a function handle.where myfun is a MATLAB function such asfun can also be an inline object.If the Jacobian can also be computed and the Jacobian parameter is 'on', set bythen the function fun must return, in a second output argument, the Jacobian value J, a matrix, at x. Note that by checking the value of nargout the function can avoid computing J when fun is called with only one output argument (in the case where the optimization algorithm only needs the value of F but not J).
fun returns a vector (matrix) of m components and x has length n, where n is the length of x0, then the Jacobian J is an m-by-n matrix where J(i,j) is the partial derivative of F(i) with respect to x(j). (Note that the Jacobian J is the transpose of the gradient of F.) |
options |
Options provides the function-specific details for the options parameters. |
Output Arguments
Function Arguments contains general descriptions of arguments returned by fsolve. This section provides function-specific details for exitflag and output:
exitflag |
Describes the exit condition: | |
| > 0 |
The function converged to a solution x. |
|
| 0 |
The maximum number of function evaluations or iterations was exceeded. |
|
| < 0 |
The function did not converge to a solution. |
|
output |
Structure containing information about the optimization. The fields of the structure are: | |
iterations |
Number of iterations taken. |
|
funcCount |
Number of function evaluations. |
|
algorithm |
Algorithm used. |
|
|
Number of PCG iterations (large-scale algorithm only). |
|
stepsize |
Final step size taken (medium-scale algorithm only). |
|
|
Measure of first-order optimality (large-scale algorithm only). For large scale problems, the first-order optimality is the infinity norm of the gradient g = JTF (see Nonlinear Least-Squares). |
|
Options
Optimization options parameters used by fsolve. Some parameters apply to all algorithms, some are only relevant when using the large-scale algorithm, and others are only relevant when using the medium-scale algorithm.You can use optimset to set or change the values of these fields in the parameters structure, options. See Optimization Parameters, for detailed information.
We start by describing the LargeScale option since it states a preference for which algorithm to use. It is only a preference since certain conditions must be met to use the large-scale algorithm. For fsolve, the nonlinear system of equations cannot be underdetermined; that is, the number of equations (the number of elements of F returned by fun) must be at least as many as the length of x or else the medium-scale algorithm is used:
LargeScale |
Use large-scale algorithm if possible when set to 'on'. Use medium-scale algorithm when set to 'off'. The default for fsolve is 'off'. |
Medium-Scale and Large-Scale Algorithms. These parameters are used by both the medium-scale and large-scale algorithms:
Diagnostics |
Print diagnostic information about the function to be minimized. |
Display |
Level of display. 'off' displays no output; 'iter' displays output at each iteration; 'final' (default) displays just the final output. |
Jacobian |
If 'on', fsolve uses a user-defined Jacobian (defined in fun), or Jacobian information (when using JacobMult), for the objective function. If 'off', fsolve approximates the Jacobian using finite differences. |
MaxFunEvals |
Maximum number of function evaluations allowed. |
MaxIter |
Maximum number of iterations allowed. |
TolFun |
Termination tolerance on the function value. |
TolX |
Termination tolerance on x. |
Large-Scale Algorithm Only. These parameters are used only by the large-scale algorithm:
JacobMult |
Function handle for Jacobian multiply function. For large-scale structured problems, this function computes the Jacobian matrix products J*Y, J'*Y, or J'*(J*Y) without actually forming J. The function is of the form |
where Jinfo and the additional parameters p1,p2,... contain the matrices used to compute J*Y (or J'*Y, or J'*(J*Y)). The first argument Jinfo must be the same as the second argument returned by the objective function fun.The parameters p1,p2,... are the same additional parameters that are passed to fsolve (and to fun).Y is a matrix that has the same number of rows as there are dimensions in the problem. flag determines which product to compute. If flag == 0 then W = J'*(J*Y). If flag > 0 then W = J*Y. If flag < 0 then W = J'*Y. In each case, J is not formed explicitly. fsolve uses Jinfo to compute the preconditioner.See Nonlinear Minimization with a Dense but Structured Hessian and Equality Constraints for a similar example. |
|
JacobPattern |
Sparsity pattern of the Jacobian for finite-differencing. If it is not convenient to compute the Jacobian matrix J in fun, lsqnonlin can approximate J via sparse finite-differences provided the structure of J -- i.e., locations of the nonzeros -- is supplied as the value for JacobPattern. In the worst case, if the structure is unknown, you can set JacobPattern to be a dense matrix and a full finite-difference approximation is computed in each iteration (this is the default if JacobPattern is not set). This can be very expensive for large problems so it is usually worth the effort to determine the sparsity structure. |
MaxPCGIter |
Maximum number of PCG (preconditioned conjugate gradient) iterations (see the Algorithm section below). |
PrecondBandWidth |
Upper bandwidth of preconditioner for PCG. By default, diagonal preconditioning is used (upper bandwidth of 0). For some problems, increasing the bandwidth reduces the number of PCG iterations. |
TolPCG |
Termination tolerance on the PCG iteration. |
TypicalX |
Typical x values. |
Medium-Scale Algorithm Only. These parameters are used only by the medium-scale algorithm:
Examples
Example 1. This example finds a zero of the system of two equations and two unknowns
Thus we want to solve the following system for x
First, write an M-file that computes F, the values of the equations at x.
Next, call an optimization routine.
x0 = [-5; -5]; % Make a starting guess at the solution options=optimset('Display','iter'); % Option to display output [x,fval] = fsolve(@myfun,x0,options) % Call optimizer
After 33 function evaluations, a zero is found.
Norm of First-order Trust-region Iteration Func-count f(x) step optimality radius 0 3 23535.6 2.29e+004 1 1 6 6001.72 1 5.75e+003 1 2 9 1573.51 1 1.47e+003 1 3 12 427.226 1 388 1 4 15 119.763 1 107 1 5 18 33.5206 1 30.8 1 6 21 8.35208 1 9.05 1 7 24 1.21394 1 2.26 1 8 27 0.016329 0.759511 0.206 2.5 9 30 3.51575e-006 0.111927 0.00294 2.5 10 33 1.64763e-013 0.00169132 6.36e-007 2.5 Optimization terminated successfully: First-order optimality is less than options.TolFun x = 0.5671 0.5671 fval = 1.0e-006 * -0.4059 -0.4059
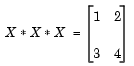
Example 2. Find a matrix x that satisfies the equation
starting at the point x= [1,1; 1,1].
First, write an M-file that computes the equations to be solved.
Next, invoke an optimization routine.
x0 = ones(2,2); % Make a starting guess at the solution options = optimset('Display','off'); % Turn off Display [x,Fval,exitflag] = fsolve(@myfun,x0,options)
and the residual is close to zero.
Notes
If the system of equations is linear, then use the \ (the backslash operator; see help slash) for better speed and accuracy. For example, to find the solution to the following linear system of equations.
Then the problem is formulated and solved as
Algorithm
The Gauss-Newton, Levenberg-Marquardt, and large-scale methods are based on the nonlinear least-squares algorithms also used in lsqnonlin. Use one of these methods if the system may not have a zero. The algorithm still returns a point where the residual is small. However, if the Jacobian of the system is singular, the algorithm may converge to a point that is not a solution of the system of equations (see Limitations and Diagnostics below).
Large-Scale Optimization. fsolve, with the LargeScale parameter set to 'on' with optimset, uses the large-scale algorithm if possible. This algorithm is a subspace trust region method and is based on the interior-reflective Newton method described in [1],[2]. Each iteration involves the approximate solution of a large linear system using the method of preconditioned conjugate gradients (PCG). See Trust-Region Methods for Nonlinear Minimization, and Preconditioned Conjugate Gradients.
Medium-Scale Optimization. by default fsolve chooses the medium-scale algorithm and uses the trust-region dogleg method. The algorithm is a variant of the Powell dogleg method described in [8]. It is similar in nature to the algorithm implemented in [7].
Alternatively, you can select a Gauss-Newton method [3] with line-search, or a Levenberg-Marquardt method [4], [5], [6] with line-search. The choice of algorithm is made by setting the NonlEqnAlgorithm parameter to 'dogleg' (default), 'lm', or 'gn'.
The default line search algorithm for the Levenberg-Marquardt and Gauss-Newton methods, i.e., the LineSearchType parameter set to 'quadcubic', is a safeguarded mixed quadratic and cubic polynomial interpolation and extrapolation method. A safeguarded cubic polynomial method can be selected by setting LineSearchType to 'cubicpoly'. This method generally requires fewer function evaluations but more gradient evaluations. Thus, if gradients are being supplied and can be calculated inexpensively, the cubic polynomial line search method is preferable. The algorithms used are described fully in the Standard Algorithms chapter.
Diagnostics
Medium and Large Scale Optimization. fsolve may converge to a nonzero point and give this message
In this case, run fsolve again with other starting values.
Medium Scale Optimization. For the trust-region dogleg method, fsolve stops if the step size becomes to small and it can make no more progress. fsolve gives this message
In this case, run fsolve again with other starting values.
Limitations
The function to be solved must be continuous. When successful, fsolve only gives one root. fsolve may converge to a nonzero point, in which case, try other starting values.
fsolve only handles real variables. When x has complex variables, the variables must be split into real and imaginary parts.
Large-Scale Optimization. Currently, if the analytical Jacobian is provided in fun, the options parameter DerivativeCheck cannot be used with the large-scale method to compare the analytic Jacobian to the finite-difference Jacobian. Instead, use the medium-scale method to check the derivative with options parameter MaxIter set to 0 iterations. Then run the problem again with the large-scale method. See Table 2-4, Large-Scale Problem Coverage and Requirements,, for more information on what problem formulations are covered and what information must be provided.
The preconditioner computation used in the preconditioned conjugate gradient part of the large-scale method forms JTJ (where J is the Jacobian matrix) before computing the preconditioner; therefore, a row of J with many nonzeros, which results in a nearly dense product JTJ, may lead to a costly solution process for large problems.
Medium-Scale Optimization. The default trust-region dogleg method can only be used when the system of equations is square, i.e., the number of equations equals the number of unknowns. For the Levenberg-Marquardt and Gauss-Newton methods, the system of equations need not be square.
See Also
@ (function_handle), \, inline, lsqcurvefit, lsqnonlin, optimset
References
[1] Coleman, T.F. and Y. Li, "An Interior, Trust Region Approach for Nonlinear Minimization Subject to Bounds," SIAM Journal on Optimization, Vol. 6, pp. 418-445, 1996.
[2] Coleman, T.F. and Y. Li, "On the Convergence of Reflective Newton Methods for Large-Scale Nonlinear Minimization Subject to Bounds," Mathematical Programming, Vol. 67, Number 2, pp. 189-224, 1994.
[3] Dennis, J. E. Jr., "Nonlinear Least-Squares," State of the Art in Numerical Analysis, ed. D. Jacobs, Academic Press, pp. 269-312.
[4] Levenberg, K., "A Method for the Solution of Certain Problems in Least-Squares," Quarterly Applied Mathematics 2, pp. 164-168, 1944.
[5] Marquardt, D., "An Algorithm for Least-squares Estimation of Nonlinear Parameters," SIAM Journal Applied Mathematics, Vol. 11, pp. 431-441, 1963.
[6] Moré, J. J., "The Levenberg-Marquardt Algorithm: Implementation and Theory," Numerical Analysis, ed. G. A. Watson, Lecture Notes in Mathematics 630, Springer Verlag, pp. 105-116, 1977.
[7] Moré, J. J., B. S. Garbow, K. E. Hillstrom, User Guide for MINPACK 1, Argonne National Laboratory, Rept. ANL-80-74, 1980.
[8] Powell, M. J. D., "A Fortran Subroutine for Solving Systems of Nonlinear Algebraic Equations," Numerical Methods for Nonlinear Algebraic Equations, P. Rabinowitz, ed., Ch.7, 1970.
| fseminf | fzero | ![]() |