System Identification Toolbox | ![]() ![]() |
Multivariable ARX Models: The idarx Model
A multivariable ARX model with nu inputs and ny outputs is given by
![]() |
(3-45) |
Here A(q) is an ny-by-ny matrix whose entries are polynomials in the delay operator q-1. You can represent it as
![]() |
(3-46) |
![]() |
(3-47) |
where the entries are polynomials in the delay operator
:
![]() |
(3-48) |
This polynomial describes how old values of output number j affect output number k. Here is the Kronecker-delta; it equals 1 when
, otherwise, it is 0. Similarly,
is an ny-by-nu matrix
![]() |
(3-49) |
![]() |
(3-50) |
The delay from input number j to output number k is . To link with the structure definition in terms of
na
, nb
, nk
in the arx
and iv4
commands, note that na
is a matrix whose kj-element is , while the kj-elements of
nb
and nk
are and
respectively.
The idarx
representation of the model (3-45) can be created by
where A
and B
are 3-D arrays of dimensions ny-by-ny-by-(na+1)
and ny-by-nu-by-(nb+1)
, respectively, that define the matrix polynomials (3-46) and (3-49).
Note that A(:,:,1)
is always the identity matrix, and that leading zero coefficients in B
matrices define the delays.
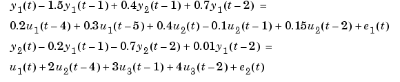
Consider the following system with two outputs and three inputs.
which in matrix notation can be written as
u
, and then
estimated in the correct ARX structure by the following string of commands.
A(:,:,1) = eye(2);
A(:,:,2) = [-1.5 0.4; -0
.2 0];
A(:,:,3) = [0.7 0 ; 0.01 -0.7];
B(:,:,1) = [0 0.4 0;1 0 0];
B(:,:,2) = [0 -0.1 0;0 0 3];
B(:,:,3) = [0 0.15 0;0 0 4];
B(:,:,4) = [0 0 0;0 0 0];
B(:,:,5) = [0.2 0 0;0 2 0];
B(:,:,6) = [0.3 0 0;0 0 0];
m0 = idarx(A,B);
u = iddata([], idinput([200,3]));
e = iddata([], randn(200,2));
y = sim(m0, [u e]);
na = [2 1;2 2];
nb = [2 3 0;1 1 2];
nk = [4 0 0;0 4 1];
me = arx([y u],[na nb nk])
me.a % The estimated A-polynominal
![]() | Polynomial Black-Box Models: The idpoly Model | Black-Box State-Space Models: the idss Model | ![]() |