| Wavelet Toolbox | ![]() |
Continuous 1-D wavelet coefficients
Syntax
COEFS = cwt(S,SCALES,'wname') COEFS = cwt(S,SCALES,'wname','plot')COEFS = cwt(S,SCALES,'wname',PLOTMODE)COEFS = cwt(S,SCALES,'wname',PLOTMODE,XLIM)
Description
cwt is a one-dimensional wavelet analysis function.
COEFS = cwt(S,SCALES,'wname') computes the continuous wavelet coefficients of the vector S at real, positive SCALES, using the wavelet whose name is 'wname' (see waveinfo for more information).
The signal S is real, the wavelet can be real or complex.
COEFS = cwt(S,SCALES,'wname','plot') computes and, in addition, plots the continuous wavelet transform coefficients.
COEFS = cwt(S,SCALES,'wname',PLOTMODE) computes and plots the continuous wavelet transform coefficients.
Coefficients are colored using PLOTMODE. Valid values for the string PLOTMODE are listed in the table below.
COEFS = cwt(...,'plot') is equivalent to COEFS = cwt(...,'absglb')
Note
You can get 3-D plots (surfaces) using the same keywords listed above for the PLOTMODE parameter, preceded by '3D'. For example: COEFS = cwt(...,'3Dplot')or COEFS = cwt(...,'3Dlvl') ...
|
COEFS = cwt(S,SCALES,'wname',PLOTMODE,XLIM) computes and plots the continuous wavelet transform coefficients.
Coefficients are colored using PLOTMODE and XLIM.
XLIM = [x1 x2] with 1
x1 < x2
length(S)
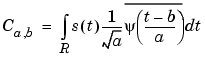
Let s be the signal and
the wavelet. The wavelet coefficient of s at scale a and position b is defined by
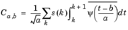
Since s(t) is a discrete signal, we use a piecewise constant interpolation of the s(k) values, k = 1 to length(s).
For each given scale a within the vector SCALES, the wavelet coefficients Ca,b are computed for b = 1 to ls = length(s), and are stored in COEFS(i,:) if a = SCALES(i).
Output argument COEFS is a la-by-ls matrix where la is the length of SCALES. COEFS is a real or complex matrix depending on the wavelet type.
t = linspace(-1,1,512);
s = 1-abs(t);
c = cwt(s,1:32,'cgau4');
c = cwt(s,[64 32 16:-2:2],'morl');
c = cwt(s,[3 18 12.9 7 1.5],'db2');
c = cwt(s,1:64,'sym4','abslvl',[100 400]);
Examples
This example demonstrates the difference between discrete and continuous wavelet transforms.
% Load a fractal signal. load vonkoch vonkoch=vonkoch(1:510); lv = length(vonkoch); subplot(311), plot(vonkoch);title('Analyzed signal.'); set(gca,'Xlim',[0 510]) % Perform discrete wavelet transform at level 5 by sym2. % Levels 1 to 5 correspond to scales 2, 4, 8, 16 and 32. [c,l] = wavedec(vonkoch,5,'sym2'); % Expand discrete wavelet coefficients for plot. % Levels 1 to 5 correspond to scales 2, 4, 8, 16 and 32. cfd = zeros(5,lv); for k = 1:5 d = detcoef(c,l,k); d = d(ones(1,2^k),:); cfd(k,:) = wkeep(d(:)',lv); end cfd = cfd(:); I = find(abs(cfd)<sqrt(eps)); cfd(I)=zeros(size(I)); cfd = reshape(cfd,5,lv); % Plot discrete coefficients. subplot(312), colormap(pink(64)); img = image(flipud(wcodemat(cfd,64,'row'))); set(get(img,'parent'),'YtickLabel',[]); title('Discrete Transform, absolute coefficients.') ylabel('level') % Perform continuous wavelet transform by sym2 at all integer % scales from 1 to 32. subplot(313) ccfs = cwt(vonkoch,1:32,'sym2','plot'); title('Continuous Transform, absolute coefficients.') colormap(pink(64)); ylabel('Scale') % Editing some graphical properties, % the following figure is generated.
Algorithm
So at any scale a, the wavelet coefficients Ca,b for b = 1 to length(s) can be obtained by convolving the signal s and a dilated and translated version of the
integrals of the form
(given by intwave), and taking the finite difference using diff.
See Also
wavedec, wavefun, waveinfo, wcodemat
| coifwavf | dbaux | ![]() |