| Wavelet Toolbox | ![]() |
Multilevel 1-D wavelet decomposition
Syntax
Description
wavedec performs a multilevel one-dimensional wavelet analysis using either a specific wavelet ('wname') or a specific wavelet decomposition filters (Lo_D and Hi_D, see wfilters).
[C,L] = wavedec(X,N,'wname') returns the wavelet decomposition of the signal X at level N, using 'wname'. N must be a strictly positive integer (see wmaxlev for more information). The output decomposition structure contains the wavelet decomposition vector C and the bookkeeping vector L. The structure is organized as in this level-3 decomposition example:
[C,L] = wavedec(X,N,Lo_D,Hi_D) returns the decomposition structure as above, given the low- and high-pass decomposition filters you specify.
Examples
% The current extension mode is zero-padding (see dwtmode).
% Load original one-dimensional signal.
load sumsin; s = sumsin;
% Perform decomposition at level 3 of s using db1.
[c,l] = wavedec(s,3,'db1');
% Using some plotting commands,
% the following figure is generated.
Algorithm
Given a signal s of length N, the DWT consists of log2 N stages at most. The first step produces, starting from s, two sets of coefficients: approximation coefficients CA1, and detail coefficients CD1. These vectors are obtained by convolving s with the low-pass filter Lo_D for approximation, and with the high-pass filter Hi_D for detail, followed by dyadic decimation (downsampling).
More precisely, the first step is
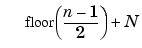
The length of each filter is equal to 2N. If n = length(s), the signals F and G are of length n + 2N - 1 and the coefficients cA1 and cD1 are of length
The next step splits the approximation coefficients cA1 in two parts using the same scheme, replacing s by cA1, and producing cA2 and cD2, and so on
The wavelet decomposition of the signal s analyzed at level j has the following structure: [cAj, cDj, ..., cD1].
This structure contains, for J = 3, the terminal nodes of the following tree:
See Also
dwt, waveinfo, waverec, wfilters, wmaxlev
References
Daubechies, I. (1992), Ten lectures on wavelets, CBMS-NSF conference series in applied mathematics. SIAM Ed.
Mallat, S. (1989), "A theory for multiresolution signal decomposition: the wavelet representation," IEEE Pattern Anal. and Machine Intell., vol. 11, no. 7, pp 674-693.
Meyer, Y. (1990), Ondelettes et opérateurs, Tome 1, Hermann Ed. (English translation: Wavelets and operators, Cambridge Univ. Press. 1993.)
| upwlev2 | wavedec2 | ![]() |