Signal Processing Toolbox | ![]() ![]() |
Nonparametric Methods
The following sections discuss the periodogram, modified periodogram, Welch, and multitaper methods of nonparametric estimation, along with the related CSD function, transfer function estimate, and coherence function.
Periodogram
One way of estimating the power spectrum of a process is to simply find the discrete-time Fourier transform of the samples of the process (usually done on a grid with an FFT) and take the magnitude squared of the result. This estimate is called the periodogram.
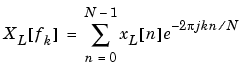
The periodogram estimate of the PSD of a length-L signal xL[n] is
The actual computation of XL(f) can be performed only at a finite number of frequency points, N, and usually employs the FFT. In practice, most implementations of the periodogram method compute the N-point PSD estimate
It is wise to choose N > L so that N is the next power of two larger than L. To evaluate XL[fk], we simply pad xL[n] with zeros to length N. If L > N, we must wrap xL[n] modulo-N prior to computing XL[fk].
As an example, consider the following 1001-element signal xn
, which consists of two sinusoids plus noise:
randn('state',0); fs = 1000; % Sampling frequency t = (0:fs)/fs; % One second worth of samples A = [1 2]; % Sinusoid amplitudes (row vector) f = [150;140]; % Sinusoid frequencies (column vector) xn = A*sin(2*pi*f*t) + 0.1*randn(size(t));
Note
The three last lines illustrate a convenient and general way to express the sum of sinusoids. Together they are equivalent to xn = sin(2*pi*150*t) + 2*sin(2*pi*140*t) + 0.1*randn(size(t));
|
The periodogram estimate of the PSD can be computed by
and a plot of the estimate can be displayed by simply omitting the output argument, as below:
The average power can be computed by approximating the integral with the following sum:
You can also compute the average power from the one-sided PSD estimate:
![]() | Spectral Estimation Method | Performance of the Periodogram | ![]() |