Statistics Toolbox    
weibinv

Inverse of the Weibull cumulative distribution function

Syntax

Description

X = weibinv(P,A,B) computes the inverse of the Weibull cdf with parameters A and B for the corresponding probabilities in P. Vector or matrix inputs for P, A, and B must all have the same size. A scalar input is expanded to a constant matrix with the same dimensions as the other inputs. The parameters in A and B must be positive.

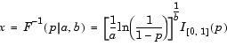
The inverse of the Weibull cdf is

Examples

A batch of light bulbs have lifetimes (in hours) distributed Weibull with parameters a = 0.15 and b = 0.24. What is the median lifetime of the bulbs?

What is the 90th percentile?

See Also

icdf, weibcdf, weibfit, weiblike, weibpdf, weibplot, weibrnd, weibstat


  weibfit weiblike