Statistics Toolbox    
tinv

Inverse of the Student's t cumulative distribution function (cdf)

Syntax

Description

X = tinv(P,V) computes the inverse of Student's t cdf with parameter V for the corresponding probabilities in P. Vector or matrix inputs for P and V must be the same size. A scalar input is expanded to a constant matrix with the same dimensions as the other inputs. The degrees of freedom in V must be positive integers, and the values in P must lie on the interval [0 1].

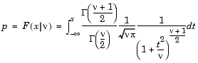
The t inverse function in terms of the t cdf is

where

The result, x, is the solution of the cdf integral with parameter , where you supply the desired probability p.

Examples

What is the 99th percentile of the t distribution for one to six degrees of freedom?

See Also

icdf, tcdf, tpdf, trnd, tstat


  tdfread tpdf