| Statistics Toolbox | ![]() |
Noncentral Chi-Square Distribution
The following sections provide an overview of the noncentral
2 distribution.
Background of the Noncentral Chi-Square Distribution
The
2 distribution is actually a simple special case of the noncentral chi-square distribution. One way to generate random numbers with a
2 distribution (with
degrees of freedom) is to sum the squares of
standard normal random numbers (mean equal to zero.)
What if we allow the normally distributed quantities to have a mean other than zero? The sum of squares of these numbers yields the noncentral chi-square distribution. The noncentral chi-square distribution requires two parameters; the degrees of freedom and the noncentrality parameter. The noncentrality parameter is the sum of the squared means of the normally distributed quantities.
The noncentral chi-square has scientific application in thermodynamics and signal processing. The literature in these areas may refer to it as the Ricean or generalized Rayleigh distribution.
Definition of the Noncentral Chi-Square Distribution
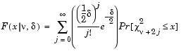
There are many equivalent formulas for the noncentral chi-square distribution function. One formulation uses a modified Bessel function of the first kind. Another uses the generalized Laguerre polynomials. The Statistics Toolbox computes the cumulative distribution function values using a weighted sum of
2 probabilities with the weights equal to the probabilities of a Poisson distribution. The Poisson parameter is one-half of the noncentrality parameter of the noncentral chi-square.
where
is the noncentrality parameter.
Example of the Noncentral Chi-Square Distribution
The following commands generate a plot of the noncentral chi-square pdf.
| Chi-Square Distribution | Discrete Uniform Distribution | ![]() |