Statistics Toolbox    
ncfstat

Mean and variance of the noncentral F distribution

Syntax

Description

[M,V] = ncfstat(NU1,NU2,DELTA) returns the mean and variance of the noncentral F pdf with NU1 and NU2 degrees of freedom and noncentrality parameter DELTA. Vector or matrix inputs for NU1, NU2, and DELTA must have the same size, which is also the size of M and V. A scalar input for NU1, NU2, or DELTA is expanded to a constant matrix with the same dimensions as the other input.

The mean of the noncentral F distribution with parameters 1, 2, and is

where 2 > 2.

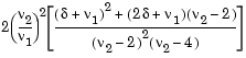
The variance is

where 2 > 4.

Example

References

[1]  Evans, M., N. Hastings, and B. Peacock, Statistical Distributions, Second Edition, John Wiley and Sons, 1993. p. 73-74.

[2]  Johnson, N., and S. Kotz, Distributions in Statistics: Continuous Univariate Distributions-2, John Wiley and Sons, 1970. pp. 189-200.

See Also
ncfcdf, ncfinv, ncfpdf, ncfrnd


  ncfrnd nctcdf