Statistics Toolbox | ![]() ![]() |
Syntax
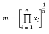
Description
geomean calculates the geometric mean of a sample. For vectors, geomean(x)
is the geometric mean of the elements in x
. For matrices, geomean(X)
is a row vector containing the geometric means of each column.
Examples
The sample average is greater than or equal to the geometric mean.
x = exprnd(1,10,6); geometric = geomean(x) geometric = 0.7466 0.6061 0.6038 0.2569 0.7539 0.3478 average = mean(x) average = 1.3509 1.1583 0.9741 0.5319 1.0088 0.8122
See Also
mean
, median
, harmmean
, trimmean
![]() | geoinv | geopdf | ![]() |