Statistics Toolbox    
gamcdf

Gamma cumulative distribution function (cdf)

Syntax

Description

gamcdf(X,A,B) computes the gamma cdf at each of the values in X using the corresponding parameters in A and B. Vector or matrix inputs for X, A, and B must all be the same size. A scalar input is expanded to a constant matrix with the same dimensions as the other inputs. The parameters in A and B must be positive.

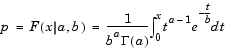
The gamma cdf is

The result, p, is the probability that a single observation from a gamma distribution with parameters a and b will fall in the interval [0 x].

gammainc is the gamma distribution with b fixed at 1.

Examples

The mean of the gamma distribution is the product of the parameters, ab. In this example, the mean approaches the median as it increases (i.e., the distribution becomes more symmetric).

See Also

cdf, gamfit, gaminv, gamlike, gampdf, gamrnd, gamstat


  fullfact gamfit