Statistics Toolbox    
chi2inv

Inverse of the chi-square (2) cumulative distribution function (cdf)

Syntax

Description

X = chi2inv(P,V) computes the inverse of the 2 cdf with parameters specified by V for the corresponding probabilities in P. Vector or matrix inputs for P and V must have the same size. A scalar input is expanded to a constant matrix with the same dimensions as the other inputs.

The degrees of freedom parameters in V must be positive integers, and the values in P must lie in the interval [0 1].

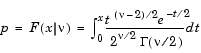
The inverse 2 cdf for a given probability p and  degrees of freedom is

where

and ( · ) is the Gamma function. Each element of output X is the value whose cumulative probability under the 2 cdf defined by the corresponding degrees of freedom parameter in V is specified by the corresponding value in P.

Examples

Find a value that exceeds 95% of the samples from a 2 distribution with 10 degrees of freedom.

You would observe values greater than 18.3 only 5% of the time by chance.

See Also

chi2cdf, chi2pdf, chi2rnd, chi2stat, icdf


  chi2cdf chi2pdf