Signal Processing Toolbox | ![]() ![]() |
Convert digital filter second-order section data to transfer function form
Syntax
Description
sos2tf
converts a second-order section representation of a given digital filter to an equivalent transfer function representation.
[b,a]
returns the numerator coefficients =
sos2tf(sos)
b
and denominator coefficients a
of the transfer function that describes a discrete-time system given by sos
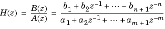
in second-order section form. The second-order section format of H(z) is given by
sos
is an L-by-6 matrix that contains the coefficients of each second-order section stored in its rows.
Row vectors b
and a
contain the numerator and denominator coefficients of H(z) stored in descending powers of z.
[b,a]
returns the transfer function that describes a discrete-time system given by =
sos2tf(sos,g)
sos
in second-order section form with gain g
.
Examples
Compute the transfer function representation of a simple second-order section system:
Algorithm
sos2tf
uses the conv
function to multiply all of the numerator and denominator second-order polynomials together.
See Also
latc2tf
, sos2ss
, sos2zp
, ss2tf
, tf2sos
, zp2tf
![]() | sos2ss | sos2zp | ![]() |