| Signal Processing Toolbox | ![]() |
z-transform partial-fraction expansion
Syntax
Description
residuez converts a discrete time system, expressed as the ratio of two polynomials, to partial fraction expansion, or residue, form. It also converts the partial fraction expansion back to the original polynomial coefficients.
finds the residues, poles, and direct terms of a partial fraction expansion of the ratio of two polynomials, b(z) and a(z). Vectors [r,p,k] = residuez(b,a)
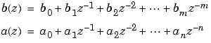
b and a specify the coefficients of the polynomials of the discrete-time system b(z)/a(z) in descending powers of z.
If there are no multiple roots and a > n-1,
The returned column vector r contains the residues, column vector p contains the pole locations, and row vector k contains the direct terms. The number of poles is
The direct term coefficient vector k is empty if length(b) is less than length(a); otherwise:
If p(j) = ... = p(j+s-1) is a pole of multiplicity s, then the expansion includes terms of the form
with three input arguments and two output arguments, converts the partial fraction expansion back to polynomials with coefficients in row vectors [b,a] = residuez(r,p,k)
b and a.
The residue function in the standard MATLAB language is very similar to residuez. It computes the partial fraction expansion of continuous-time systems in the Laplace domain (see reference [1]), rather than discrete-time systems in the z-domain as does residuez.
Algorithm
residuez applies standard MATLAB functions and partial fraction techniques to find r, p, and k from b and a. It finds
a using deconv (polynomial long division) when length(b) > length(a)-1.
p = roots(a).
r2 using \. h is the impulse response of the reduced b(z)/a(z), S1 is a matrix whose columns are impulse responses of the first-order systems made up of the nonrepeating roots, and r1 is a column containing the residues for the nonrepeating roots. Each column of matrix S2 is an impulse response. For each root pj of multiplicity sj, S2 contains sj columns representing the impulse responses of each of the following systems.
h and matrices S1 and S2 have n + xtra rows, where n is the total number of roots and the internal parameter xtra, set to 1 by default, determines the degree of overdetermination of the system of equations.
See Also
convmtx, deconv, poly, prony, residue, roots, ss2tf, tf2ss, tf2zp, tf2zpk, zp2ss
References
[1] Oppenheim, A.V., and R.W. Schafer, Digital Signal Processing, Prentice-Hall, Englewood Cliffs, NJ, 1975, pp. 166-170.
| resample | rlevinson | ![]() |