Signal Processing Toolbox    
parzenwin

Compute a Parzen (de la Valle-Poussin) window

Syntax

Description

w = parzenwin(n) returns the n-point Parzen (de la Valle-Poussin) window in column vector w. Parzen windows are piecewise cubic approximations of Gaussian windows. Parzen window sidelobes fall off as .

Examples

Compare 64-point Parzen and Gaussian windows and display the result using sigwin window objects and wintool:

Algorithm

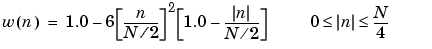
The Parzen window is defined as

See Also

barthannwin, bartlett, blackmanharris, bohmanwin, nuttallwin, rectwin, triang, window, wintool, wvtool

References

Harris, F.J. "On the Use of Windows for Harmonic Analysis with the Discrete Fourier Transform." Proceedings of the IEEE. Vol. 66, No. 1 (January 1978).


  nuttallwin pburg