| Image Processing Toolbox | ![]() |
Syntax
Description
h = fspecial(type) creates a two-dimensional filter, h, of the specified type. fspecial returns h as a correlation kernel, which is the appropriate form to use with imfilter. type is a string having one of these values:
'gaussian' for a Gaussian lowpass filter
'sobel' for a Sobel horizontal edge-emphasizing filter
'prewitt' for a Prewitt horizontal edge-emphasizing filter
'laplacian' for a filter approximating the two-dimensional Laplacian operator
'log' for a Laplacian of Gaussian filter
'average' for an averaging filter
'unsharp' for an unsharp contrast enhancement filter
h = fspecial(type,parameters) accepts a filter type plus additional modifying parameters particular to the type of filter chosen. If you omit these arguments, fspecial uses default values for the parameters.
The following list shows the syntax for each filter type. Where applicable, additional parameters are also shown.
h = fspecial('average',hsize) returns an averaging filter, h, of size hsize. The argument hsize can be a vector specifying the number of rows and columns in h, or it can be a scalar, in which case h is a square matrix. The default value for hsize is [3 3].
h = fspecial('disk',radius) returns a circular averaging filter (pillbox) within the square matrix of side 2*radius+1. The default radius is 5.
h = fspecial('gaussian',hsize,sigma) returns a rotationally symmetric Gaussian lowpass filter of size hsize with standard deviation sigma (positive). hsize can be a vector specifying the number of rows and columns in h, or it can be a scalar, in which case h is a square matrix. The default value for hsize is [3 3]; the default value for sigma is 0.5.
h = fspecial('laplacian',alpha) returns a 3-by-3 filter approximating the shape of the two-dimensional Laplacian operator. The parameter alpha controls the shape of the Laplacian and must be in the range 0.0 to 1.0. The default value for alpha is 0.2.
h = fspecial('log',hsize,sigma) returns a rotationally symmetric Laplacian of Gaussian filter of size hsize with standard deviation sigma (positive). hsize can be a vector specifying the number of rows and columns in h, or it can be a scalar, in which case h is a square matrix. The default value for hsize is [5 5] and 0.5 for sigma.
h = fspecial('motion',len,theta) returns a filter to approximate, once convolved with an image, the linear motion of a camera by len pixels, with an angle of theta degrees in a counter-clockwise direction. The filter becomes a vector for horizontal and vertical motions. The default len is 9, the default theta is 0, which corresponds to a horizontal motion of 9 pixels.
h = fspecial('prewitt') returns a 3-by-3 filter, h, (shown below) that emphasizes horizontal edges by approximating a vertical gradient. If you need to emphasize vertical edges, transpose the filter, h'.
h = fspecial('sobel') returns a 3-by-3 filter, h, (shown below) that emphasizes horizontal edges using the smoothing effect by approximating a vertical gradient. If you need to emphasize vertical edges, transpose the filter, h'.
h = fspecial('unsharp',alpha) returns a 3-by-3 unsharp contrast enhancement filter. fspecial creates the unsharp filter from the negative of the Laplacian filter with parameter alpha. alpha controls the shape of the Laplacian and must be in the range 0.0 to 1.0. The default value for alpha is 0.2.
Class Support
Example
I = imread('saturn.tif'); subplot(2,2,1);imshow(I);title('Original Image'); H = fspecial('motion',50,45); MotionBlur = imfilter(I,H); subplot(2,2,2);imshow(MotionBlur);title('Motion Blurred Image'); H = fspecial('disk',10); blurred = imfilter(I,H); subplot(2,2,3);imshow(blurred);title('Blurred Image'); H = fspecial('unsharp'); sharpened = imfilter(I,H); subplot(2,2,4);imshow(sharpened);title('Sharpened Image');
Algorithms
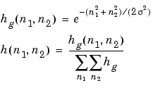
fspecial creates Gaussian filters using
fspecial creates Laplacian filters using
fspecial creates Laplacian of Gaussian (LoG) filters using
fspecial creates averaging filters using
fspecial creates unsharp filters using
See Also
conv2, edge, filter2, fsamp2, fwind1, fwind2, imfilter
del2 in the MATLAB Function Reference
| fsamp2 | ftrans2 | ![]() |