| Function Reference | ![]() |
Compute controllability and observability grammians
Syntax
Description
gram
calculates controllability and observability grammians. You can use grammians to study the controllability and observability properties of state-space models and for model reduction [1,2]. They have better numerical properties than the controllability and observability matrices formed by ctrb and obsv.
Given the continuous-time state-space model
the controllability grammian is defined by
and the observability grammian by

The discrete-time counterparts are
The controllability grammian is positive definite if and only if
is controllable. Similarly, the observability grammian is positive definite if and only if
is observable.
to compute the grammians of a continuous or discrete system. The LTI model sys must be in state-space form.
Algorithm
The controllability grammian
is obtained by solving the continuous-time Lyapunov equation
or its discrete-time counterpart
Similarly, the observability grammian
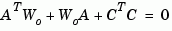
solves the Lyapunov equation
in continuous time, and the Lyapunov equation
Limitations
The
matrix must be stable (all eigenvalues have negative real part in continuous time, and magnitude strictly less than one in discrete time).
See Also
balrealGrammian-based balancing of state-space realizations
ctrbControllability matrix
lyap, dlyapLyapunov equation solvers
obsvObservability matrix
References
[1] Kailath, T., Linear Systems, Prentice-Hall, 1980.
| get | hasdelay | ![]() |