Function Reference | ![]() ![]() |
Specify descriptor state-space models
Syntax
sys = dss(a,b,c,d,e) sys = dss(a,b,c,d,e,Ts) sys = dss(a,b,c,d,e,ltisys) sys = dss(a,b,c,d,e,'Property1',Value1,...,'PropertyN',ValueN) sys = dss(a,b,c,d,e,Ts,'Property1',Value1,...,'PropertyN',ValueN)
Description
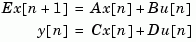
sys = dss(a,b,c,d,e)
creates the continuous-time descriptor state-space model
The matrix must be nonsingular. The output
sys
is an SS model storing the model data (see "LTI Objects" on page 2-3). Note that ss
produces the same type of object. If the matrix , do can simply set
d
to the scalar 0
(zero).
creates the discrete-time descriptor modelsys = dss(a,b,c,d,e,Ts)
with sample time Ts
(in seconds).
creates a descriptor model with generic LTI properties inherited from the LTI model sys
=
dss(a,b,c,d,e,ltisys)
ltisys
(including the sample time). See "LTI Properties" on page 2-26 for an overview of generic LTI properties.
Any of the previous syntaxes can be followed by property name/property value pairs
Each pair specifies a particular LTI property of the model, for example, the input names or some notes on the model history. See set
and the example below for details.
Example
with a 0.1 second input delay. The input is labeled 'voltage'
, and a note is attached to tell you that this is just an example.
See Also
dssdata
Retrieve matrices of descriptor model
get
Get properties of LTI models
set
Set properties of LTI models
ss
Specify (regular) state-space models
![]() | dsort | dssdata | ![]() |