| Wavelet Toolbox | ![]() |
Meyer Wavelet: meyr
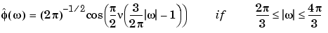
Both
and
are defined in the frequency domain, starting with an auxiliary function
(see [Dau92] pages 117, 119, 137, 152). By typing waveinfo('meyr') at the MATLAB command prompt, you can obtain a survey of the main properties of this wavelet.
Figure 6-16: The Meyer Wavelet
The Meyer wavelet and scaling function are defined in the frequency domain:
By changing the auxiliary function, you get a family of different wavelets. For the required properties of the auxiliary function
(see References for more information). This wavelet ensures orthogonal analysis.
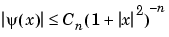
The function
does not have finite support, but
decreases to 0 when
, faster than any inverse polynomial
such that
This property holds also for the derivatives
The wavelet is infinitely differentiable.
| Biorthogonal Wavelet Pairs: biorNr.Nd | Battle-Lemarie Wavelets | ![]() |