Signal Processing Toolbox | ![]() ![]() |
Convert a prediction filter polynomial to reflection coefficients
Syntax
Description
k
converts the prediction filter polynomial =
poly2rc(a)
a
to the reflection coefficients of the corresponding lattice structure. a
can be real or complex, and a(1)
cannot be 0. If a(1)
is not equal to 1
, poly2rc normalizes the prediction filter polynomial by a(1)
. k
is a row vector of size length(a)-1
.
[k,r0]
returns the zero-lag autocorrelation, =
poly2rc(a,efinal)
r0
, based on the final prediction error, efinal
.
A simple, fast way to check if a
has all of its roots inside the unit circle is to check if each of the elements of k
has magnitude less than 1.
Examples
a=
[1.0000 0.6149 0.9899 0.0000 0.0031 -0.0082]; efinal = 0.2; [k,r0]=
poly2rc(a,efinal) k = 0.3090 0.9801 0.0031 0.0081 -0.0082 r0 = 5.6032
Limitations
If abs(k(i)) == 1
for any i
, finding the reflection coefficients is an ill-conditioned problem. poly2rc
returns some NaN
s and provide a warning message in this case.
Algorithm
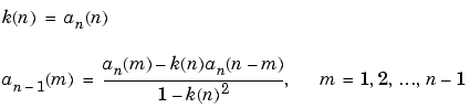
poly2rc
implements this recursive relationship:
This relationship is based on Levinson's recursion [1]. To implement it, poly2rc
loops through a
in reverse order after discarding its first element. For each loop iteration i
, the function:
k(i)
equal to a(i)
i
of the vector a
.
See Also
ac2rc
, latc2tf
, latcfilt
, poly2ac
, rc2poly
, tf2latc
References
[1] Kay, S.M. Modern Spectral Estimation, Englewood Cliffs, NJ, Prentice-Hall, 1988.
![]() | poly2lsf | polyscale | ![]() |