Signal Processing Toolbox | ![]() ![]() |
Compute a Hann (Hanning) window
Syntax
Description
w
returns an =
hann(n)
n
-point symmetric Hann window in the column vector w
. n
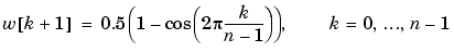
must be a positive integer. The coefficients of a Hann window are computed from the following equation.
w
returns an =
hann(n,'sflag
')
n
-point Hann window using the window sampling specified by '
sflag
'
, which can be either 'periodic'
or 'symmetric'
(the default). When 'periodic'
is specified, hann
computes a length n+1
window and returns the first n
points.
Examples
Create a 64-point Hann window and display the result in WVTool:
See Also
blackman
, flattopwin
, hamming
, window
, wintool
, wvtool
References
[1] Oppenheim, A.V., and R.W. Schafer, Discrete-Time Signal Processing, Prentice-Hall, 1989, pp. 447-448.
![]() | hamming | hilbert | ![]() |