Signal Processing Toolbox | ![]() ![]() |
Importing Filters and Spectra into SPTool
In addition to importing signals into SPTool, you can import filters or spectra into SPTool from either the workspace or from a file.
The procedures are very similar to those explained in:
Importing Filters
When you import filters, first select the appropriate filter form from the Form list.
For every filter you specify a variable name or a value for the filter's sampling frequency in the Sampling Frequency field. Each filter form requires different variables.
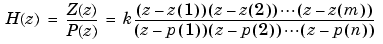
Transfer Function
For Transfer Function
, you specify the filter by its transfer function representation:
State Space
For State Space
, you specify the filter by its state-space representation:
The A-Matrix, B-Matrix, C-Matrix, and D-Matrix fields specify a variable name or a value for each matrix in this system.
Zeros, Poles, Gain
For Zeros,
Poles,
Gain
, you specify the filter by its zero-pole-gain representation:
Second Order Sections
For 2nd
Order
Sections
you specify the filter by its second-order section representation:
The SOS Matrix field specifies a variable name or a value for the L-by-6 SOS matrix
whose rows contain the numerator and denominator coefficients bik and aik of the second-order sections of H(z).
Note If you import a filter that was not created in SPTool, you can only edit that filter using the Pole/Zero Editor. |
Importing Spectra
When you import a power spectral density (PSD), you specify:
The PSD values in the PSD vector correspond to the frequencies contained in the Freq. Vector vector; the two vectors must have the same length.
![]() | Accessing Filter Parameters | Loading Variables from the Disk | ![]() |