Signal Processing Toolbox | ![]() ![]() |
Syntax
Description
w = gausswin(n)
returns an n
-point Gaussian window in the column vector w
. n
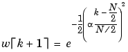
is a positive integer. The coefficients of a Gaussian window are computed from the following equation.
w = gausswin(n,
returns an )
n
-point Gaussian window where is the reciprocal of the standard deviation. The width of the window is inversely related to the value of
; a larger value of
produces a more narrow window. If
is omitted, it defaults to 2.5.
Examples
Create a 64-point Gaussian window and display the result in WVTool:
Note The shape of this window is similar in the frequency domain because the Fourier transform of a Gaussian is also a Gaussian. |
See Also
chebwin
, kaiser
, tukeywin
, window
, wintool
, wvtool
References
[1] Harris, F.J. "On the Use of Windows for Harmonic Analysis with the Discrete Fourier Transform." Proceedings of the IEEE. Vol. 66, No. 1 (January 1978).
[2] Roberts, Richard A., and C.T. Mullis. Digital Signal Processing. Reading, MA: Addison-Wesley, 1987, pp. 135-136.
![]() | gauspuls | gmonopuls | ![]() |