Financial Toolbox    
ugarchpred

Forecast conditional variance of univariate GARCH(P,Q) processes

Syntax

Arguments

U
Single column vector of random disturbances, i.e., the residuals or innovations (t), of an econometric model representing a mean-zero, discrete-time stochastic process. The innovations time series U is assumed to follow a GARCH(P,Q) process.
Kappa
Scalar constant term of the GARCH process.
Alpha
P-by-1 vector of coefficients, where P is the number of lags of the conditional variance included in the GARCH process. Alpha can be an empty matrix, in which case P is assumed 0; when P = 0, a GARCH(0,Q) process is actually an ARCH(Q) process.
Beta
Q-by-1 vector of coefficients, where Q is the number of lags of the squared innovations included in the GARCH process.
NumPeriods
Positive, scalar integer representing the forecast horizon of interest, expressed in periods compatible with the sampling frequency of the input innovations column vector U.

Description

[VarianceForecast, H] = ugarchpred(U, Kappa, Alpha, Beta, NumPeriods) forecasts the conditional variance of univariate GARCH(P,Q) processes.

VarianceForecast is a number of periods (NUMPERIODS)-by-1 vector of the minimum mean-square error forecast of the conditional variance of the innovations time series vector U (i.e., t). The first element contains the 1-period-ahead forecast, the second element contains the 2-period-ahead forecast, and so on. Thus, if a forecast horizon greater than 1 is specified (NUMPERIODS > 1), the forecasts of all intermediate horizons are returned as well. In this case, the last element contains the variance forecast of the specified horizon, NumPeriods from the most recent observation in U.

H is a vector of the conditional variances (t2) corresponding to the innovations vector U. It is inferred from the innovations U, and is a reconstruction of the "past" conditional variances, whereas the VarianceForecast output represents the projection of conditional variances into the "future." This sequence is based on setting pre-sample values of t2 to the unconditional variance of the {t} process. H is a single column vector of the same length as the input innovations vector U.

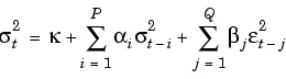
The time-conditional variance, t2, of a GARCH(P,Q) process is modeled as

where represents the argument Alpha, represents Beta, and the GARCH(P,Q) coefficients {, , } are subject to the following constraints.

Note that U is a vector of residuals or innovations (t) of an econometric model, representing a mean-zero, discrete-time stochastic process.

Although t2 is generated using the equation above, t and t2 are related as

where {vt} is an independent, identically distributed (i.i.d.) sequence ~ N(0,1).

Examples

See ugarchsim for an example of forecasting the conditional variance of a univariate GARCH(P,Q) process.

See Also

ugarch, ugarchsim, and the GARCH Toolbox function garchpred


  ugarchllf ugarchsim