MATLAB Function Reference    
airy

Airy functions

Syntax

Definition

The Airy functions form a pair of linearly independent solutions to

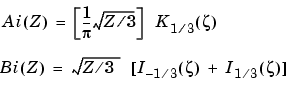
The relationship between the Airy and modified Bessel functions is

where

Description

W = airy(Z) returns the Airy function, , for each element of the complex array Z.

W = airy(k,Z) returns different results depending on the value of k.

k
Returns
0
The same result as airy(Z)
1
The derivative,
2
The Airy function of the second kind,
3
The derivative,

[W,ierr] = airy(k,Z) also returns completion flags in an array the same size as W.

ierr
Description
0
airy succesfully computed the Airy function for this element.
1
Illegal arguments
2
Overflow. Returns Inf
3
Some loss of accuracy in argument reduction
4
Unacceptable loss of accuracy, Z too large
5
No convergence. Returns NaN

See Also

besseli, besselj, besselk, bessely

References

[1]  Amos, D. E., "A Subroutine Package for Bessel Functions of a Complex Argument and Nonnegative Order," Sandia National Laboratory Report, SAND85-1018, May, 1985.

[2]  Amos, D. E., "A Portable Package for Bessel Functions of a Complex Argument and Nonnegative Order," Trans. Math. Software, 1986.


  addproperty (COM) alim