Statistics Toolbox | ![]() ![]() |
Noncentral chi-square cumulative distribution function (cdf)
Syntax
Description
computes the noncentral chi-square cdf at each of the values in P = ncx2cdf(X,V,
DELTA)
X
using the corresponding degrees of freedom in V
and positive noncentrality parameters in DELTA. Vector or matrix inputs for X
, V
, and DELTA
must have the same size, which is also the size of P
. A scalar input for X
, V
, or DELTA
is expanded to a constant matrix with the same dimensions as the other inputs.
Some texts refer to this distribution as the generalized Rayleigh, Rayleigh-Rice, or Rice distribution.
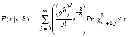
The noncentral chi-square cdf is
Example
References
[1] Johnson, N., and S. Kotz, Distributions in Statistics: Continuous Univariate Distributions-2, John Wiley and Sons, 1970. pp. 130-148.
See Also
cdf
, ncx2inv
, ncx2pdf
, ncx2rnd
, ncx2stat
![]() | nctstat | ncx2inv | ![]() |