| Statistics Toolbox | ![]() |
Mathematical Foundations of Multiple Linear Regression
The linear model takes its common form
is a p-by-1 vector of parameters.
is an n-by-1 vector of random disturbances.
The solution to the problem is a vector, b, which estimates the unknown vector of parameters,
. The least squares solution is
This equation is useful for developing later statistical formulas, but has poor numeric properties. regress uses QR decomposition of X followed by the backslash operator to compute b. The QR decomposition is not necessary for computing b, but the matrix R is useful for computing confidence intervals.
You can plug b back into the model formula to get the predicted y values at the data points.
Statisticians use a hat (circumflex) over a letter to denote an estimate of a parameter or a prediction from a model. The projection matrix H is called the hat matrix, because it puts the "hat" on y.
The residuals are the difference between the observed and predicted y values.
The residuals are useful for detecting failures in the model assumptions, since they correspond to the errors,
, in the model equation. By assumption, these errors each have independent normal distributions with mean zero and a constant variance.
The residuals, however, are correlated and have variances that depend on the locations of the data points. It is a common practice to scale ("Studentize") the residuals so they all have the same variance.
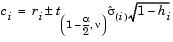
In the equation below, the scaled residual, ti, has a Student's t distribution with (n-p-1) degrees of freedom
The left-hand side of the second equation is the estimate of the variance of the errors excluding the ith data point from the calculation.
A hypothesis test for outliers involves comparing ti with the critical values of the t distribution. If ti is large, this casts doubt on the assumption that this residual has the same variance as the others.
A confidence interval for the mean of each error is
Confidence intervals that do not include zero are equivalent to rejecting the hypothesis (at a significance probability of
) that the residual mean is zero. Such confidence intervals are good evidence that the observation is an outlier for the given model.
| Multiple Linear Regression | Example: Multiple Linear Regression | ![]() |