Signal Processing Toolbox    
bartlett

Compute a Bartlett window

Syntax

Description

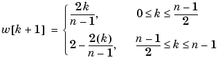
w = bartlett(n) returns an n-point Bartlett window in the column vector w, where n must be a positive integer. The coefficients of a Bartlett window are computed as follows:

The Bartlett window is very similar to a triangular window as returned by the triang function. The Bartlett window always ends with zeros at samples 1 and n, however, while the triangular window is nonzero at those points. For n odd, the center n-2 points of bartlett(n) are equivalent to triang(n-2).

Examples

Create a 64-point Bartlett window and display the result using WVTool:

See Also

barthannwin, blackmanharris, bohmanwin, nuttallwin, parzenwin, rectwin, triang, window, wintool, wvtool

References

[1] Oppenheim, A.V., and R.W. Schafer. Discrete-Time Signal Processing. Upper Saddle River, NJ: Prentice-Hall, 1999, pp. 468-471.


  barthannwin besselap