| Statistics Toolbox | ![]() |
Mean and variance for the Rayleigh distribution
Syntax
Description
returns the mean and variance of the Rayleigh distribution with parameter [M,V] = raylstat(B)
B.
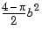
The mean of the Rayleigh distribution with parameter b is
and the variance is
Example
See Also
raylcdf, raylinv, raylpdf, raylrnd
| raylrnd | rcoplot | ![]() |