Signal Processing Toolbox    
triang

Compute a triangular window

Syntax

Description

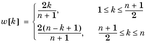
triang(n) returns an n-point triangular window in the column vector w. The coefficients of a triangular window are:

For n odd:

For n even:

The triangular window is very similar to a Bartlett window. The Bartlett window always ends with zeros at samples 1 and n, while the triangular window is nonzero at those points. For n odd, the center n-2 points of triang(n-2) are equivalent to bartlett(n).

Examples

Create a 200-point triangular window and plot the result using WVTool.

See Also

barthannwin, bartlett, blackmanharris, bohmanwin, nuttallwin, parzenwin, rectwin, window, wintool, wvtool

References

[1] Oppenheim, A.V., and R.W. Schafer, Discrete-Time Signal Processing, Prentice-Hall, Englewood Cliffs, NJ, 1989, pp. 447-448.


  tfe tripuls