Signal Processing Toolbox | ![]() ![]() |
Discrete cosine transform (DCT)
Syntax
Description
y = dct(x)
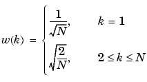
returns the unitary discrete cosine transform of x
N is the length of x
, and x
and y
are the same size. If x
is a matrix, dct
transforms its columns. The series is indexed from n = 1 and k = 1 instead of the usual n = 0 and k = 0 because MATLAB vectors run from 1 to N instead of from 0 to N- 1.
y = dct(x,n)
pads or truncates x
to length n
before transforming.
The DCT is closely related to the discrete Fourier transform. You can often reconstruct a sequence very accurately from only a few DCT coefficients, a useful property for applications requiring data reduction.
Examples
Find how many DCT coefficients represent 99% of the energy in a sequence:
x=
(1:100) + 50*
cos((1:100)*
2*
pi/40); X=
dct(x); [XX,ind]=
sort(abs(X)); ind=
fliplr(ind); i=
1; while (norm([X(ind(1:i)) zeros(1,100-i)])/norm(X)<.99) i=
i + 1; end i=
3
See Also
References
[1] Jain, A.K. Fundamentals of Digital Image Processing. Englewood Cliffs, NJ: Prentice-Hall, 1989.
[2] Pennebaker, W.B., and J.L. Mitchell. JPEG Still Image Data Compression Standard. New York, NY: Van Nostrand Reinhold, 1993. Chapter 4.
![]() | czt | decimate | ![]() |