| Image Processing Toolbox | ![]() |
The DCT Transform Matrix
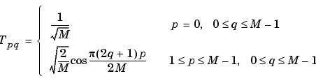
The Image Processing Toolbox offers two different ways to compute the DCT. The first method is to use the function dct2. dct2 uses an FFT-based algorithm for speedy computation with large inputs. The second method is to use the DCT transform matrix, which is returned by the function dctmtx and may be more efficient for small square inputs, such as 8-by-8 or 16-by-16. The M-by-M transform matrix T is given by
For an M-by-M matrix A, T*A is an M-by-M matrix whose columns contain the one-dimensional DCT of the columns of A. The two-dimensional DCT of A can be computed as B=T*A*T'. Since T is a real orthonormal matrix, its inverse is the same as its transpose. Therefore, the inverse two-dimensional DCT of B is given by T'*B*T.
| Discrete Cosine Transform | The DCT and Image Compression | ![]() |