| Image Processing Toolbox | ![]() |
Design two-dimensional FIR filter using one-dimensional window method
Syntax
Description
fwind1 designs two-dimensional FIR filters using the window method. fwind1 uses a one-dimensional window specification to design a two-dimensional FIR filter based on the desired frequency response Hd. fwind1 works with one-dimensional windows only; use fwind2 to work with two-dimensional windows.
h = fwind1(Hd,win) designs a two-dimensional FIR filter h with frequency response Hd. (fwind1 returns h as a computational molecule, which is the appropriate form to use with filter2.) fwind1 uses the one-dimensional window win to form an approximately circularly symmetric two-dimensional window using Huang's method. You can specify win using windows from the Signal Processing Toolbox, such as boxcar, hamming, hanning, bartlett, blackman, kaiser, or chebwin. If length(win) is n, then h is n-by-n.
Hd is a matrix containing the desired frequency response sampled at equally spaced points between -1.0 and 1.0 (in normalized frequency, where 1.0 corresponds to half the sampling frequency, or
radians) along the x and y frequency axes. For accurate results, use frequency points returned by freqspace to create Hd. (See the entry for freqspace for more information.)
h = fwind1(Hd,win1,win2) uses the two one-dimensional windows win1 and win2 to create a separable two-dimensional window. If length(win1) is n and length(win2) is m, then h is m-by-n.
h = fwind1(f1,f2,Hd,...) lets you specify the desired frequency response Hd at arbitrary frequencies (f1 and f2) along the x and y axes. The frequency vectors f1 and f2 should be in the range -1.0 to 1.0, where 1.0 corresponds to half the sampling frequency, or
radians. The length of the window(s) controls the size of the resulting filter, as above.
Class Support
The input matrix Hd can be of class double or of any integer class. All other inputs to fwind1 must be of class double. All outputs are of class double.
Example
Use fwind1 to design an approximately circularly symmetric two-dimensional bandpass filter with passband between 0.1 and 0.5 (normalized frequency, where 1.0 corresponds to half the sampling frequency, or
radians):
Hd that contains the desired bandpass response. Use freqspace to create the frequency range vectors f1 and f2.
[f1,f2] = freqspace(21,'meshgrid');Hd = ones(21);r = sqrt(f1.^2 + f2.^2);Hd((r<0.1)|(r>0.5))= 0;colormap(jet(64)) mesh(f1,f2,Hd)
Algorithm
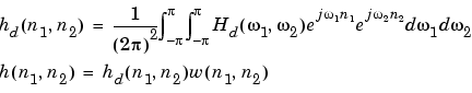
fwind1 takes a one-dimensional window specification and forms an approximately circularly symmetric two-dimensional window using Huang's method,
where w(t) is the one-dimensional window and w(n1,n2) is the resulting two-dimensional window.
Given two windows, fwind1 forms a separable two-dimensional window.
fwind1 calls fwind2 with Hd and the two-dimensional window. fwind2 computes h using an inverse Fourier transform and multiplication by the two-dimensional window.
See Also
conv2, filter2, fsamp2, freqspace, ftrans2, fwind2
Reference
[1] Lim, Jae S. Two-Dimensional Signal and Image Processing. Englewood Cliffs, NJ: Prentice Hall, 1990.
| ftrans2 | fwind2 | ![]() |