Fixed-Point Blockset    

Division

Division of values is an operation that should be avoided in fixed-point embedded systems, but it can occur in places. Therefore, consider the division of two real-world values:

These values are represented by the general [Slope Bias] encoding scheme described in Scaling:

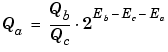
In a fixed-point system, the division of values results in finding the variable Qa:

This formula shows

Inherited Scaling for Speed

The number of arithmetic operations can be reduced with these choices:

The resulting formula is

If , then no clear recommendation can be made.

Inherited Scaling for Maximum Precision

You can determine the maximum precision scaling if the range of the variable is known. Example: Maximizing Precision shows that you can determine the range of a fixed-point operation from and . For division, you can determine the range from

where for nonzero denominators

Radix Point-Only Scaling

For radix point-only scaling, finding Qa results in this simple expression:


  Gain Summary