Function Reference    
augstate

Append the state vector to the output vector

Syntax

Description

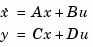
Given a state-space model sys with equations

(or their discrete-time counterpart), augstate appends the states to the outputs to form the model

This command prepares the plant so that you can use the feedback command to close the loop on a full-state feedback  .

Limitation

Because augstate is only meaningful for state-space models, it cannot be used with TF, ZPK or FRD models.

See Also
feedback    Feedback connection

parallel    Parallel connection

series      Series connection


  append balreal