Statistics Toolbox | ![]() ![]() |
Parameter estimates for ridge regression
Syntax
Description
returns the ridge regression coefficients b = ridge(y,X,k)
b
for the linear model y = X+
, where:
When k
= 0, b
is the least squares estimator. For increasing k
, the bias of b
increases, but the variance of b
falls. For poorly conditioned X
, the drop in the variance more than compensates for the bias.
Example
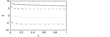
This example shows how the coefficients change as the value of k
increases, using data from the hald
dataset.
load hald; b = zeros(4,100); kvec = 0.01:0.01:1; count = 0; for k = 0.01:0.01:1 count = count + 1; b(:,count) = ridge(heat,ingredients,k); end plot(kvec',b'),xlabel('k'),ylabel('b','FontName','Symbol')
![]() | regstats | robustdemo | ![]() |