Statistics Toolbox    
nbinpdf

Negative binomial probability density function

Syntax

Description

Y = nbinpdf(X,R,P) returns the negative binomial pdf at each of the values in X using the corresponding parameters in R and P. Vector or matrix inputs for X, R, and P must have the same size, which is also the size of Y. A scalar input for X, R, or P is expanded to a constant matrix with the same dimensions as the other inputs. Note that the density function is zero unless the values in X are integers.

The negative binomial pdf is

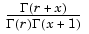
The simplest motivation for the negative binomial is the case of successive random trials, each having a constant probability P of success. The number of extra trials you must perform in order to observe a given number R of successes has a negative binomial distribution. However, consistent with a more general interpretation of the negative binomial, nbinpdf allows R to be any positive value, including nonintegers. When R is noninteger, the binomial coefficient in the definition of the pdf is replaced by the equivalent expression

Example

See Also
nbincdf, nbinfit, nbininv, nbinrnd, nbinstat, pdf


  nbininv nbinrnd